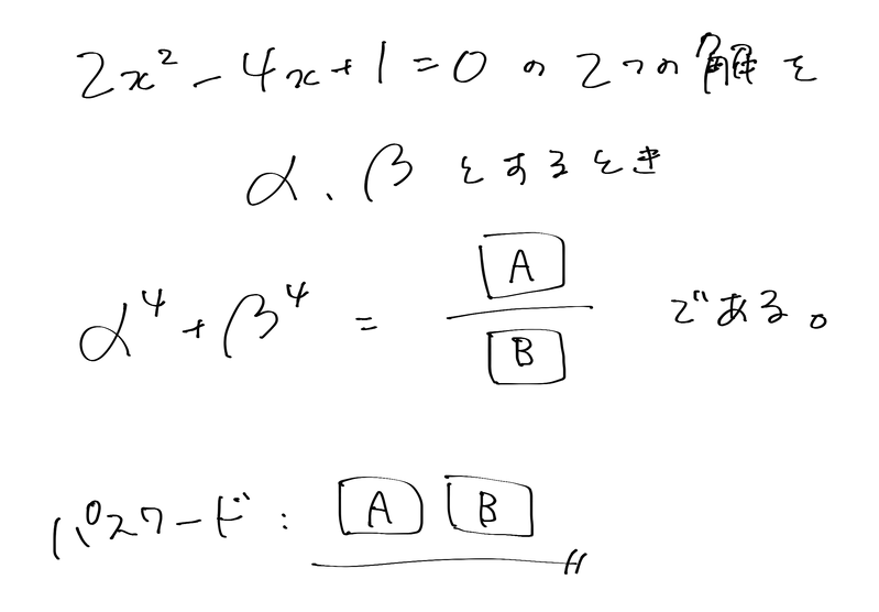
330_trpg☆quiet followPASTえっこく げんみ×一陣に描いた絵を勿体無い精神で載せているだけです数Ⅰやりたくてパスワードにしましたえっこく通過済みかつ久しぶりに問題解きたい方はどうぞ! show hide show all(+2 images) Tap to full screen (size:2379x1655).Repost is prohibited Let's send reactions! freqpopularsnackothersPayment processing Replies from the creator Follow creator you care about!☆quiet follow 330_trpgDOODLE快刀乱魔学園 げんみ×ちゃんと描こうとして諦めてるやつOK→y 3 330_trpgDOODLEそれは誰かの幸福論。 げんみ×pass y 330_trpgDOODLE快刀乱魔 げんみ×ほにの落書き通過済みはy 2 330_trpgDOODLE快刀乱魔 自陣ネタバレ無しのらくがき 4 330_trpgDOODLEえっこく げんみ×pass AB 半角数字ヒント NPCの〇〇〇 2 330_trpgDOODLEリリリバ げんみ×pass いのりんの一番 フルネームひらがな 3 recommended works MinoDOODLE初期チェズモク R18来自友人的一次初期设定口嗨:初期默真在为人打抱不平时遇到困难求助于情报屋的初期切斯雷,切斯雷认出了眼前这个人是杀父凶手,于是故意提出天价情报费,默真付不起但是切斯雷说可以用屁股付钱(???!)总之是个没头没尾的5p爱爱漫画…password:18↑?(y/n) 6 _dahanDOODLEthis is the jc/pm compilation. 2 megumisuzusDOODLE程光🔞cxslg rkgk x1pass: 18↑ yes/nor18初描きです🙏I want to try drawing manga panels someday🥲 hxp147258DOODLE韓国人気レザーiphone16/15/14Pro/13 mcmケースhttps://foolcase.com/goods-mcm-iphone15-case-460.html 0sayu3kcat_trpgDOODLEゴダルカ自陣絵第2弾げんみ❌自陣❤️⭕️pass:ok 9 natutubakicolorDONE堕獄の夜籠り、断つ双刀鬼の女の子。できたのでポイピクあげ。野茨ちゃんです。2025初立ち絵だーい!! 3 nyauオリキャラ寮DONE140 今年の主役君 poteto_muscleDONE⚠️女体化好きな衣装並べて満足です。アクスタにしたいンゴね。 5 mn_nm_nj23MOURNING2025絵チャ置き 7